Що таке диференціювання
Що таке диференціювання
Процес
знаходження похідної функції називається диференціюванням. Зворотним до
диференціювання є інтегрування — процес знаходження первісної.
Похідна — основне поняття диференціального числення. Похідною функції f(x) у точці х0 називається границя (якщо вона існує) відношення приросту функції у точці х0 до приросту аргументу Δх, якщо приріст аргументу прямує до нуля і позначається f'(x0). Визначається як границя відношення
приросту функції до приросту її аргументу коли приріст аргументу прямує до нуля
(якщо така границя існує).
ΔfΔx=f(x0+Δx)−f(x0)Δx,
тобто простими словами, похідна характеризує швидкість зміни функції. Функцію, що має скінченну похідну, називають
диференційовною.
Диференціювання — це метод обчислення співвідношення
приросту залежної змінної y
по відношенню до приросту незалежної змінної x. Це співвідношення приростів називається похідною функції y по змінній x. Якщо говорити більш точно,
залежність y від x означає, що y функція від x. Ця функціональна
залежність часто позначається y
= ƒ(x), де ƒ позначає
функцію. Якщо x та y дійсні числа, і якщо графік
функції y зображено
відносно x, похідна
дорівнює нахилу дотичної до цього графіка в кожній точці.
Найпростіший випадок коли y — лінійна функція від x, це означає що графік функції y відносно x пряма лінія. В такому випадку, y = ƒ(x) = mx + b,
для дійсних чисел m та b, і нахил m визначається так:
m=Δy/Δx,
З цього випливає, що Δy = mΔx.
Отримали точне значення нахилу прямої лінії. Якщо функція ƒ
не лінійна (тобто графік функції не пряма лінія), тоді приріст y поділений на приріст x змінюється: диференціювання
це спосіб обчислення точного значення відношення приростів для будь-якого
значення x.
Ідея полягає в тому, щоб обчислити відношення приростів як
граничну величину Δy / Δx коли Δx стає нескінченно малим.
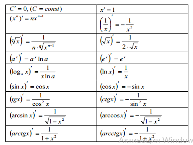
Формули диференціювання
Знаходження похідної елеменмтарної функції
Геометричний та фізичний зміст похідної
Геометричний зміст похідної полягає у наступному: кутовий коефіцієнт дотичної до графіка функції у = f(x), що приведена у точці цього графіка з абсцисою х0 дорівнює похідній функції у = f(x) у цій точці, тобто
k = f '(x0).
Оскільки k = tg α,
де α - кут, який утворює дотична з
додатнім напрямом осі абсцис, то у випадку f '(x0) > 0, кут α -
гострий, якщо f '(x0) =
0, то дотична паралельна осі абсцис (або співпадає з нею), а у випадку f '(x0) < 0, кут α -
тупий.
Фізичний зміст похідної полягає у наступному: якщо шлях, пройдений тілом, що рухається прямолінійно, до моменту часу t(t > 0), визначається за формулою х(t), то швидкість руху υ(t) в момент часу і дорівнює похідній цієї функції:
а прискорення a(t) - похідній швидкості υ(t):
Припустимо, що залежність заряду, що протікає через поперечний переріз проводу, від часу описує функція q(t). Потрібно обчислити величину струму I в який-небудь момент часу. Середню величину струму можна обчислити як відношення Δq/Δt.Миттєва величина струму, це межа цього відношення, якщо зміна часу наближається до нуля, тобто похідна функції q(t):
I=limΔt→0ΔqΔt=q'(t)
Приклади
Приклад 1. Знайти прирощення аргументуΔх і приріст функції Δf в точці x0, якщо f (х)=х2, x0=2
a) x=1,9;
b) x=2,1;
Розв’язання
Скористаємося формулами, наведеними вище:
a) Δх=х-x0=1,9-2=-0,1;
Δf=f (1,9)-f (2)=1,92-22=-0,39;
b) Δx=x-x0=2,1-2=0,1;Приклад 2. Обчислити прирощення Δf для функції f(x)=1 / x у точці x0, якщо приріст аргументу дорівнює Δх.
Розв’язання
Δf=f (2,1)-f (2)=2,12-22=0,41.
Знову ж, скористаємося формулами, отриманими вище.
Δf=f (x0 + Δx)-f (x0)=1 / (x0-Δx)-1/x0=(x0-(x0 + Δx)) / (x0 ∙ (x0 + Δx))=-Δx / ((x0*(x0 + Δx)).
Приклад 3. Знайдіть похідну функції
Розв’язання
Спростивши функцію отримаємо
Тому
Приклад 4. Нехай необхідно обчислити значення функції
у точці х = 4.
Розв’язання
Природно це роблять наступним чином: спочатку обчислюють значення виразу 2х + 1, якщо х = 4, а саме 2 ∙ 4 + 1 = 9; потім з отриманого числа 9 здобувають арифметичний квадратний корінь, маємо
= 3. Отже, f(9) = 3.
Приклад 5. Знайдіть кут нахилу до осі абсцис дотичної, проведеної до графіка функції f(х) = 2
, що проведена в точці А(1; 2).
Розв’язання
Тоді
a тому
α = π/4
Розв’язання
Знайдемо спочатку похідні функції
i 
Тоді 
Тоді
Приклад 7. На графіку функції
знайдіть такі точки, в яких дотична, проведена до графіка функції, паралельна осі абсцис.
Розв’язання
Нехай х0 - абсциса шуканої точки. Тоді, виходячи з умови f(х0) = 0, маємо: Знаходимо x0 = 0 або х0 = -2. Отже, враховуючи,
Приклад 8. Задано закон прямолінійного руху
Розв’язання

Source: https://formula.kr.ua/pohidna-ta-yiyi-zastosuvannya/shcho-take-pokhidna-funktsii-ta-dyferentsiiuvannia.html








Коментарі
Дописати коментар